
Recall is not about refighting the last election.
This isn’t a new position for me.
When organizers from the Lower Mainland threatened Prince George MLA Paul Ramsey, a New Democrat, with recall back in the 1990s – it was a bad idea. Ramsey’s sin: as education minister he supported the My Two Moms book in the Surrey School District. This should have surprised no one, so recall was not appropriate.
It was the same with attempts to recall Victoria-area MLA Ida Chong. It had nothing to do with her; it was a way to possibly punish and embarrass Premier Campbell. Not appropriate for recall.
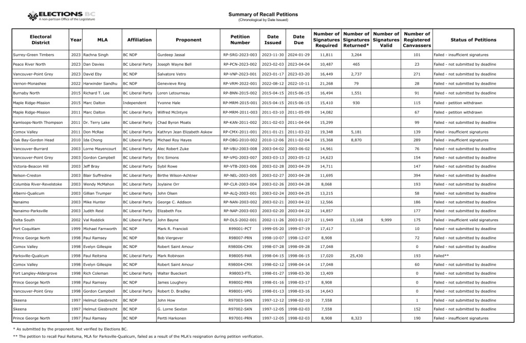
With all the chatter about recall now that floor-crossing has become de rigueur in Ottawa, the discussion seems centered around the fact Alberta introduced recall legislation in 2021. British Columbia has had it since 1995.
Since being brought in there has never even been a recall attempt that passed the first hurdle – enough signatures to do the recall formally. Check out the graphic. All failures.
There is an interesting footnote of recall history: Parksville.
One of the all-time great British Columbia headlines read – Our MLA Is A Liar and We Can Prove It!
Turns out Liberal MLA Paul Reitsma was writing letters to the editor under the pen name Warren Betanko. The letters extolled Reitsma for his outstanding work.
Before the signatures requiring a recall campaign could be counted, Reitsma resigned. That arguably was appropriate use of recall.
Now recall is going to be back in the fore in British Columbia, as the date for the initial phase of recall has arrived; organizers can now begin the work of getting approved by Elections BC and then moving onto the collection of signatures.
Top target this time is from the Okanagan: Kelowna-Lake Country-Coldstream MLA Tara Armstrong.
Since her election, Armstrong has managed to keep in the public eye with a series of pronouncements, no-hope bills and party-switching that are seen as being too right for even the Conservative Party. From transgender identity to reconciliation to human rights, Armstrong has staked out a clear position – one that is offensive too many. She joined Dallas Brodie in creating OneBC and then bailed out of that relationship, now sitting as independent but weighing in the BC Conservative leadership race with an endorsement of Kerry-Lynne Findlay.
Wilbur Turner has been readying for the chance to recall Armstrong and says she wasn’t elected based on what she now espouses. “She platformed on affordability, health care, supporting seniors and people with disabilities … and when she got elected, she went on a totally different road,” he says.
But should anyone be surprised by the road the rookie MLA has taken. She and her party campaigned on eliminating SOGI; former leader John Rustad was skeptical, let’s say, of human rights tribunals; and, the party platform focused on economic reconciliation, not any cultural or land-based reconciliation.
She was an untested politician, who was executive member of the party leadership team before it became more mainstream. And we saw quite a few unqualified candidates sneak through the vetting process heading into the last election. The first challenge is to get elected and she did that by riding the wave and not making any of her own. After the election, she’s causing quite the storm.
Are her remarks offensive? Yes. Is it a surprise? Not really. Is she fit for office? No. What does it say that two BC Conservatives supported her bill to ban land acknowledgements? Is she the canary in the coal mine?
The question will be is she offensive to the communities she represents? Are there enough people who don’t want to be tarred with that extreme thinking that they will force British Columbia’s first successful recall campaign? Will recalling her make her an unlikely martyr?
The decision isn’t mine, as I don’t live inside her constituency. I’d be tempted not to raise her profile further and let her wither come the next election. But her constituents will decide if Tara Armstrong makes history as the first successful recall campaign.
Leave a comment