Strategy. Storytelling. Success.

B.C. Is Fraying – And Silence Won’t Fix It

Reconciliation is not optional. Whether rooted in the Crown’s legal obligations or in the moral imperative to address a historic wrong that continues to shape lives today, the fact remains: we must find a workable path forward. British Columbia sits in a unique position. Unlike most of Canada, few treaties were ever signed here -…

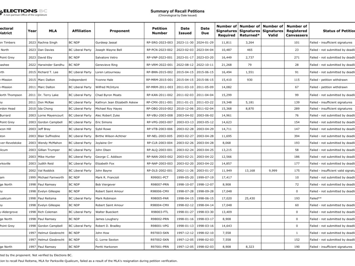
To recall or not to recall, that is the question

Recall is not about refighting the last election.  This isn’t a new position for me.  When organizers from the Lower Mainland threatened Prince George MLA Paul Ramsey, a New Democrat, with recall back in the 1990s – it was a bad idea. Ramsey’s sin: as education minister he supported the My Two Moms book in…

Office not just about work, it’s about keeping connections

Should unionized government employees have to go back to the office? It’s a contentious issue at the provincial and federal level, with sides throwing out data about efficiency, mentorship and health of the environment. And the answer is, obviously, yes – mostly. There is a clear generational divide, with those raised in a digital world…

You get a new leader, you get a new leader

For those who are looking longingly at the recent polls that suggests a change in the provincial government is inevitable, see Pierre Poilievre.  As former British prime minister Harold Macmillan reportedly said: events, dear boy, events. And British Columbia has plenty of those.  It’s quite possible to see a scenario that in the next election…

Cuts target those who need help

It’s the little things that get you in the end. And in Budget 2026, the NDP have introduced the proverbial thousand cuts – providing a little something for everyone to be angry about. For seniors, it’s a new tax on cable and landlines. For those in the middle-class, it’s the raising of the base income…

What to do when the answer is no

Finance Minister Brenda Bailey is predicting her upcoming budget will make her “the least popular person” in British Columbia. Premier David Eby has said: “Absolutely, we’ll be reducing spending in the next budget.” Now, putting aside the small detail that NDP has blown through roughly $18 billion under the current premiership with many feeling like…

Housing First or cycle of futility stays

Two weeks. Two meetings. Hundreds of people. Recurring themes. And one item notably missing from the agenda. Kelowna residents and business owners feel under siege, like the waves of social disorder keep encroaching farther up the shore and are threatening to swamp them and irrevocably change the culture of the city. It’s a feeling that…

Why NDP need to be relevant

It’s a leadership race that could make or break the party. It’s a contest to decide whether principles trump politics. This is a battle that will settle what the heart of the party is. At the end, will the party belong to a small, faithful cadre or will newly planted roots flourish? And the leading…

Treatment = public safety

The frustration over the social disorder unfolding in communities is entirely understandable. People are angry. They are tired of being told they lack compassion or don’t grasp the complexities of what’s happening. What they see is a system applying bandages to fractures that clearly need a cast to heal what is shattered. This week in…

Appreciate gift of library

As you age, Christmas becomes a bit more nostalgic. After tucking into a big meal, grazing on snacks, and lounging in matching holiday pajamas, the question of “best gift ever” inevitably comes up. And the answers are almost always about something unwrapped decades ago – a cherished memory tied to a moment under the tree.…

The Limits of Involuntary Care

It seems so simple. So basic of an idea that you wonder why it has not been implemented yet.  It is involuntary care. As communities across the province grapple with street disorder and a sense of insecurity, involuntary care is seen by many as a solution. Politicians of all stripes have offered it up to concerned…

Cons Soul searching

Now the hard work begins. For those who have been entwined in the internecine conflict that has consumed the Conservative Party of British Columbia it might seem like the end. John Rustad is out, let the healing begin and the guns turn to target David Eby. If only it were so. In a post on X after…

Gambling on addiction

Hockey Night in Canada is now unwatchable. And not because of the on-ice product. Instead of insight into players and tactics, now it is a steady inundation of betting and betting-adjacent talk disguised as coverage. It is nauseating to be honest, distracts from the game and poses a danger to both the sport and consumers.…

Tackling Nimbyism

People always want a solution to homeless encampments, right up until one is provided. It’s like NIMBYism on steroids. And it happens everywhere. We’ve just seen it in Surrey and Penticton. So, in the spirit of not just complaining, what can we learn from past experiences and use as a building block? People can’t just…

Okay, Blue Jays

After dress rehearsal in the church which would host our production, the director – a sophisticated and elegant woman – looked me in the eye as the cast lounged and asked a pointed question: why does the city give so much to sports and not the arts. “Cause the Cougars can draw 6,000 fans a…

Best option: Leadership Race

John Rustad is a nice man. In fact, he’s a good man, a decent man – even has a hint of John Major without all the pizzazz. But if he truly wants to ensure the longevity of the movement he’s helped revive, the best thing he can do now is call a leadership race. As…

Lost middle ground

The New Democrats – the national version – are disappointing. Those were the first words I jotted down for this column. For the first time in years, I can write them without worrying about the ramifications for an employer. But before I could continue, a news alert arrived: Charlie Kirk had been shot in Utah.…

Action: Vid works

Back when newspapers held a firm grip on daily life, a study struck me like a bolt in my ink-filled heart. It revealed that the story I had laboured over was the fourth most important part of the reader’s experience. First came headlines, followed by photos, then cutlines, and then, if the reader was still…

Outrage in X Teacup

The tempest-in-a-teapot that was the Sydney Sweeney/American Eagle affair was equal parts amusing and illuminating. Amusing, because both the left and right fringes found something to be outraged about. Social media howled in indignation, the noise spilled into the mainstream, and even the President weighed in. Illuminating, because it served as a reminder of how…

Knowing your limits – in the wild and with AI

Getting my hands dirty – literally – is something I genuinely enjoy. The problem? I’m spectacularly inept when it comes to anything involving construction skills. Demolition and destruction? I’m your person. But when it comes to building, it’s best to assign me the humble task of handing over tools or cold drinks. Maybe I’ll hold…

Hello World!

The dark side. Spin doctors. Twisters of truth. Or as one wag in the British Columbia press gallery named them: fart catchers.  All different monikers assigned to those whose profession is communications professional. The daily task to get good PR and negate negativity as much as possible.  And now, as traditional media recalibrates and social…